鱼羊一水发自凹非寺
量子位 | 公众号 QbitAI
如果有这么一个人,写下这样的复杂公式,并声称是受女神梦中启发所得,大家伙儿通常会送他两个字:民科。

但当这个人一生中数千次写下类似的数学公式和命题,并在此后的 100 年间,不断地被证实正确,那么就只有一个可能——
他是拉马努金。

之所以再度火爆,是因为直到今天,数学界还不断有最新发现,在验证他当年留下的“谜题”。
拉马努金,一位全数学界公认的神人,被认为是数学史上最伟大的天才之一:
没有接受过正统数学教育,在印度挂科到本科学位都没拿到,却凭借自己惊人的数学直觉征服数学大师G.H.哈代,使得剑桥大学三一学院的大门破例向他打开。
32 岁就英年早逝,职业搞数学的时间只有短短 6 年,但他的数学笔记至今仍是传奇——留下了近 4000 个公式,很多都在后来被证明正确。
他的恩师哈代甚至开玩笑说,自己对数学最大的贡献就是发现了拉马努金:
和拉马努金的交往是我一生中唯一的浪漫事件。

△中间为拉马努金,最右为G.H.哈代
直到今天,后辈数学家们仍在追赶着拉马努金的步伐。
就在 2024 年 9 月,弗吉尼亚大学的数学家小野肯(Ken Ono)和他的合作者们,还在 PNAS(美国国家科学院院刊)上发表了一篇关于罗杰斯-拉马努金恒等式的应用论文,将其用于检测质数。

“梦中女神的启示”
拉马努金传奇故事的构成要素之一,是他独特的做数学的方式。
简单来说就是三个字:凭直觉。
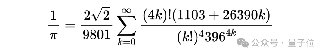
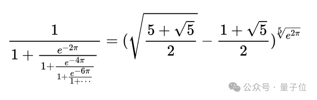
毕竟以常规思维来评判,你很难理解一个 20 世纪 10 年代的数学家,是怎么写出那么多看上去只有计算机才能搞定的表达式的。
他写给哈代的第一封信,就让哈代惊呼“我从未见过像这样的东西”,其中的数学结果长这样:

而拉马努金自己也常常声称,他的直觉和灵感来自于女神托梦(他是一位婆罗门教徒),他在梦中得到灵感,醒来后就在笔记中记下这些表达式。
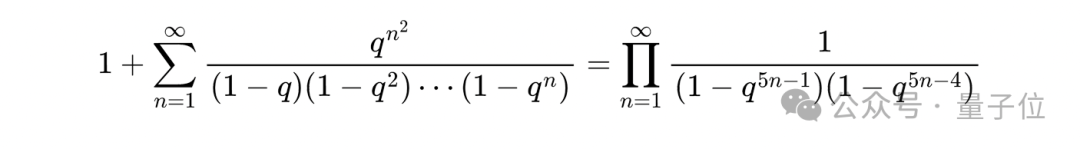
在今天,拉马努金影响最深远的研究包括罗杰斯-拉马努金恒等式。
这是与基本超几何级数和整数拆分相关的两个恒等式。
第一个恒等式是:

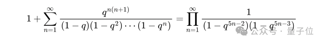
第二个恒等式是:

后世的数学家们发现罗杰斯-拉马努金恒等式与其他数学领域,比如统计物理学和表示论,存在深切的关联。
比如,在 20 世纪 80 年代,罗格斯大学数学家 James Lepowsky 和 Robert Wilson 利用顶点算子代数理论,为罗杰斯-拉马努金恒等式提供了一个新的表示论证明。
顶点算子代数理论在弦论的发展过程中发挥了重要作用,也在群论最大成果之一——怪兽月光理论的证明中发挥了关键作用。
拉马努金猜想,则是数论和模形式研究中的一个重要里程碑。现代数学研究中最大的单项项目朗兰兹纲领也和拉马努金猜想有着紧密的联系。
拉马努金猜想通常是指关于模形式的τ函数系数大小的猜想。拉马努金提出,对于:

其中,对于素数p,τ(p)的绝对值不会超过
。简单来说,就是这个数列中的数字虽然会变大,但不会变得太快或太大。
这个猜想在 1973 年由皮埃尔·德利涅(Pierre Deligne)证明。
朗兰兹纲领的核心是函子性猜想,这一猜想描述了不同代数群的自守表示之间的深刻联系。函子性猜想包含很多著名的猜想,拉马努金猜想就是其中之一。
自学成才的数学鬼才
总而言之,这位受到女神眷顾的数学家,在今天的数学史上,已经成为一个绕不开的、金光熠熠的名字。
但在他出生的 1887 年,他的父母可能怎么也没想到,他们这个没落的印度婆罗门家庭里,会成长出这样一位传奇的数学鬼才。
拉马努金出生于印度泰米尔纳德邦埃罗德县,父亲是一位收入微薄的小职员,母亲则是家庭主妇。
年幼的拉马努金很快展现出了自己的天赋,在小学里取得了优异的学业成绩,但直到他进入中学,他才算真正接触到了正规数学,那一年他 10 岁。
△拉马努金出生地
在这样的环境中,实际上,从接触数学到发展出属于自己的数学研究,拉马努金最主要是靠自学。
一开始,他是跟着家里的两个大学生租户学习数学知识,但在 11 岁时,两位大学生就没什么能再教他的了。于是,他们借给了拉马努金一本高等三角学的书,让他能够继续自学。
13 岁时,拉马努金啃透了这本书,甚至还自己发现了一些复杂的定理。
在以全区最好成绩升入当地高中后,凭借个人直觉和逻辑思维,他独立推导了《纯粹及应用数学的基本成果概要》中的大量数学公式。
具体来说,在仔细研究书中的 5000 个数学定理后,他发现了伯努利数,并里程碑式地将欧拉-马斯切罗尼常数计算到了小数点后 15 位。
至高中毕业时,他被授予了K. Ranganatha Rao 数学奖,校长还夸赞他的成绩远在满分之上。
只可惜,拉马努金对数学的过度专注让他在大学时期遭遇了挫折。
这一阶段的求学经历只能用“混乱”来形容,期间经历了换校、学位考试两度失败(数学只答自己感兴趣的,其他科目成绩不佳),最终肄业,没有拿到学位证。
大学失败后,沮丧的他选择了离家出走,以至于母亲还在报上登了一份寻人启事。

之后他一直陷于生活窘迫之中,不过仍未放弃独立数学研究。
直到 23 岁那年,他认识了税务部门公务员V. Ramaswamy Aiyer,后者曾创立印度数学会,不过当时已结束数学会第一任秘书职务。
命运的齿轮就此转动。
一开始,无业游民拉马努金只想进入税务部门工作,于是向 Aiyer 展示了自己的数学笔记本。
看完笔记后, Aiyer 立即深感不能在税务底层部门埋没拉马努金的才华,于是写了一封介绍信将他推荐给了自己的数学家朋友们。
这群人也非常看好他,层层举荐后,拉马努金来到了印度数学会秘书R. Ramachandra Rao 面前。
这位秘书对他的研究印象深刻,但鉴于拉马努金的知识背景,于是怀疑他作者身份的真实性。
经过多方努力,最终拉马努金拿到了一次面谈机会:
在这位秘书面前,他侃侃而谈椭圆积分、超几何级数和发散级数理论……
而这,也最终征服了对方。当得知拉马努金迫切需要工作和财政支持后,这位秘书把他推荐到了一所大学担任研究员,并为他的研究提供经济资助。
后来,拉马努金的研究成果发表在《印度数学会杂志》上。
这中间还发生了一件有意思的事:
当时他将一个无限嵌套根式的方程,以谜题的形式投稿给期刊,想看看能收到哪些回答。

结果等了 3 个月,没有任何人理他。
无奈之下,拉马努金只能自己上场,咔咔一顿操作后,最终在第一本笔记的第 105 页上,写下了解决无限嵌套根式方程的解决方案。(自己挖坑自己填第一人)

总之在这一时期,拉马努金一边工作,一边业余搞数学研究,生活还算相对平稳。
再到后来,为了将一些工作成果更广泛地传播,拉马努金开始给几位英国数学家写信:
我是一名职员…… 我并未受过大学教育…… 但我正在为自己开辟一条新道路……
信中还有几页数学推演,其中一些内容之前有人推导过,还有一些不完全正确。
最先接到信的是 HF Baker 和 EW Hobson 这两位教授,在没有发表任何评论的情况下,他们直接退回了信件。
不过这没有让拉马努金退缩,他继续将信投给了那个“命中注定般的人”——数学家哈代。
虽然哈代初看这份手稿也以为是欺诈,但最后 3 个陌生公式吸引了他的注意力:
我以前从未见过这些东西,它们完全打败了我。它们一定是真的,因为如果它们不是真的,就没有人有想象力来发明它们。
△图源:Quanta Magazine
震惊过后,哈代起了惜才之心,于是邀请拉马努金前往剑桥大学一同研究。(提供剑桥奖学金)
于是从 1914 年开始,两人和哈代的另一同事李特尔伍德开始了长达 5 年的合作研究。
仅就拉马努金和哈代来说,二人的合作并不容易:哈代追求严谨的证明,而拉马努金更相信直觉。
不过期间二人还是发生了不少有趣的小故事:
一次,拉马努金生病住院了。哈代为了帮他解闷,告诉他出租车的编号是 1729,“一个看起来没什么意思的数字”。
这可激起了拉马努金的反驳,“不,这是个非常有趣的数字。”
他进一步解释,“在所有能用两种方式写成两个自然数立方和的数字中,它是最小的那个。”
1729=1^3+12^3=9^3+10^3
这个故事后来被用来定义“的士数”。(不是太懂这些数学家的乐趣 doge)

后来,拉马努金因在高度复合数方面的工作拿到了研究型文学学士学位(博士学位的前身),并当选伦敦数学会会员。
31 岁那年,他更是凭借“对椭圆函数及对数论的贡献”当选史上最年轻的英国皇家学会会员,还是该机构认可的第二位印度人。
不过令人意外的是,刚刚取得巨大成就的拉马努金,却很快走向了故事终局。
在因身体不适返回印度后。1920 年,拉马努金32 岁英年早逝。
当时人们认为可能的死亡原因是结核病,直到 1994 年,后来有医生对拉马努金的医疗记录和症状进行了分析,得出的新结论是肝阿米巴病。
理由是拉马努金离开印度前曾患过两次痢疾,而阿米巴痢疾可能会潜伏数年,并导致肝阿米巴病。
后来的医生表示,如果当时能得到正确诊疗,这种病通常可以被治愈。
这也让后人一直感到无比遗憾:

而为了纪念他,人们也专门设立了“拉马努金奖”,每年由位于他的故乡贡伯戈讷姆的 Shanmugha 文理工研究院(SASTRA)所颁发,奖金为 10000 美元。
获奖者需满足两个条件:
-
在拉马努金研究领域做出杰出贡献的数学家
-
获奖时年龄需在 32 岁以下(正好是拉马努金去世时候的年纪)
该奖自 2005 年颁发以来,至今已有22 位获得者,包括陶哲轩、詹姆斯·梅纳德等多位菲尔兹奖得主,以及张伟、恽之玮、刘一峰等等出身于北大数院的数学家们。
△图源:Wikipedia
数学家们仍在追赶拉马努金
从 1914 年到 1920 年,实际上,拉马努金作为职业数学家仅工作了 6 年的时间,但就像前文提到过的,他的成果至今影响着数学界的后辈们。
1976 年,人们还在剑桥大学三一学院的图书馆中找到了拉马努金生命最后一年的“笔记本”。
这个“笔记本”由 138 页散乱的纸张组成,上面记录了 600 多个数学公式,但没有证明的过程。其中包括拉马努金对模拟θ函数的研究——这个函数对计算黑洞的熵很有用。

包含这本“遗失的笔记本”在内,拉马努金留下的手稿笔记中,总共 3900 余个公式和定理。
尽管拉马努金本人并没有在笔记中留下明确的思路,但后辈数学家们依然认为,“他为重要理论的开端奠定了基础”。
直到今天,数学家们仍在循着拉马努金的遗产,追赶着这位传奇人物的脚步。
巴黎西岱大学的数学家侯赛因·莫尔塔达(Hussein Mourtada)就是其中之一。
他从博士起就在研究奇点理论。他发现,能证明奇点深层基础结构的方法,就来自于拉马努金在一个世纪以前写下的数学陈述。
简单来说,莫尔塔达在研究名为“胖点”的简单奇点的弧空间时,发现弧空间的结构可以用罗杰斯-拉马努金恒等式来描述。

在此基础之上,他还和他的学生 Pooneh Afsharijoo 一起,探索了许多更复杂的奇点及其弧空间。Afsharijoo 现在在马德里康普顿斯大学担任博士后研究员,他还发现了新的条件,扩大了拉马努金原始恒等式的范围。
拉马努金故事片《知者无涯》(The Man Who Knew Infinity)的副制片和顾问、弗吉尼亚大学数学家小野肯,更是认为自己的职业生涯一定程度上得益于拉马努金的洞察。
2014 年,小野和 Michael J. Griffin、S. Ole Warnaar 联合发表论文,为罗杰斯-拉马努金恒等式及其算术性质提供了一个框架,解决了一个源自拉马努金工作的长期谜团。
2024 年 9 月,他和 William Craig 和 Jan-Willem van Ittterum 一起,采用整数拆分方法来检测素数——同样是基于拉马努金的工作。论文已发表在 PNAS 上。
OMT:更多相关资料
除了上面这些,如果你对拉马努金感兴趣,还有以下资料可作补充:

从相关传记来看,英国电影《The Man Who Knew Infinity》(2015)专门讲述了拉马努金和哈代教授之间的友谊,以及他在学术领域的生涯。
另外,他也出现在了两位印度数学家 Narendra Kumar Govil 和 Bhu Dev Sharma 的回忆录中。

而对于那些难缠的数学公式,油管也有一系列详细推演。

最后,还有网站收录了拉马努金所有已发表和未发表的论文。

感兴趣就学起来吧!今日份劝学 KPI 达成(doge)~
油管教学视频:
https://www.youtube.com/watch?v=jcKRGpMiVTw
全部论文收录:
http://ramanujan.sirinudi.org/
参考链接:
[1]https://x.com/AdrianDittmann/status/1848917275447071132
[2]https://www.quantamagazine.org/srinivasa-ramanujan-was-a-genius-math-is-still-catching-up-20241021/
