
新智元报道
编辑:KingHZ
何恺明团队又一力作!这次他们带来的是「生成模型界的降维打击」——MeanFlow:无需预训练、无需蒸馏、不搞课程学习,仅一步函数评估(1-NFE),就能碾压以往的扩散与流模型!
何恺明有新论文了!
全新的生成模型 MeanFlow,最大亮点在于它彻底跳脱了传统训练范式——无须预训练、蒸馏或课程学习,仅通过一次函数评估(1-NFE)即可完成生成。
MeanFlow 在 ImageNet 256×256 上创下 3.43 FID 分数,实现从零开始训练下的 SOTA 性能。

图1(上):在 ImageNet 256×256 上从零开始的一步生成结果
在 ImageNet 256×256 数据集上,MeanFlow 在一次函数评估(1-NFE)下达到了 3.43 的 FID 分数,性能相比此前同类最佳方法有 50% 到 70% 的相对提升(见图 1 左)。
此外,MeanFlow 训练过程从零开始,无需预训练、蒸馏或课程学习。

图1(左):算力和一次函数评估 FID 分数
其中 iCT、Shortcut 和 MF 都是一次函数评估(1-NFE),而 IMM 则使用了两次函数评估(2-NFE)的引导策略。
具体数值见表2。

表2:ImageNet-256×256 上的类别条件生成实验,不同模型的参数、FID 得分等统计数据
值得一提的是,作者共有 5 位,其中 4 位是华人,均来自 CMU 和 MIT 两所顶校。
其中一作耿正阳,是 CMU 的博士生,在 MIT 访问时完成了这次研究的部分工作。

论文链接:https://arxiv.org/abs/2505.13447
在新论文中,研究者提出了系统且高效的一步生成建模框架 MeanFlow。
传统 Flow Matching 依赖建模瞬时速度场,而 MeanFlow首创性地引入平均速度场(Mean Velocity Field)这一概念。
平均速度是指「位移/时间间隔」的比值,本质上是对瞬时速度在时间轴上的积分。
仅基于这一定义,研究者推导出了平均速度与瞬时速度之间清晰且内在的数学关系,这为神经网络训练提供了理论依据。
在这一基本概念之上,直接训练神经网络,对平均速度场建模。
为此,研究者设计了新的损失函数,引导网络去满足平均速度与瞬时速度之间的内在关系,无需引入额外的启发式方法。
由于存在明确定义的目标速度场,理论上最优解与网络的具体结构无关,这种属性有助于训练过程更加稳健和稳定。
此外,新方法还能自然地将「无分类器引导」(Classifier-Free Guidance,CFG)融入目标速度场,在采样阶段使用引导时不会带来额外的计算开销。
详细结果
在图 1 和表2(左侧)中,研究者将 MeanFlow 与现有的一步扩散/流模型进行了比较。
总体来看,MeanFlow 在同类方法中表现显著优越:
-
新模型在 ImageNet 256×256 上实现了3. 43 的 FID 分数,相比 IMM 的7. 77,相对提升超过 50%;
-
如果仅比较1-NFE(一次函数评估)的生成结果,MeanFlow 相比此前的最优方法 Shortcut(FID 10.60),相对提升接近 70%。
这表明,MeanFlow 在很大程度上缩小了一步与多步扩散/流模型之间的性能差距。
在2-NFE(两次函数评估)设定下,新方法取得了2. 20 的 FID 分数(见表 2 左下角)。
这个结果已经可以媲美许多多步方法的最优基线。
它们都采用了 XL/2 级别的骨干网络,且 NFE 达到250×2(见表 2 右侧)。
这进一步表明,少步数的扩散/流模型已经具备挑战多步模型的潜力。
此外,未来还能进一步提升性能。

图5:1-NFE 生成结果示例
在 CIFAR-10 数据集(32×32)上,研究人员进行了无条件生成实验,结果列在表 3 中。
使用1-NFE采样时,他们使用FID-50K分数作为性能指标。
所有方法均采用相同的U-Net 架构(约 5500 万参数)。
需要注意的是,其他所有对比方法均使用了EDM风格的预处理器(pre-conditioner),而新方法没有使用任何预处理器。
在 CIFAR-10 这个数据集上,新方法在性能上与现有方法具有竞争力。

表3:CIFAR-10 无条件生成结果
前身:流匹配
流匹配(Flow Matching,简称 FM)是一种生成建模范式。
Flow Matching 将「连续归一化流」(Continuous Normalizing Flows,CNFs)与「扩散模型」(Diffusion Models,DMs)的一些关键思想相结合,从而缓解了这两类方法各自存在的核心问题。

形式上,给定数据x∼pdata (x)和先验噪声ϵ∼pprior (ϵ),可以构造一条流动路径,

其中t表示时间,a_t和b_t是预设的调度函数。
路径的速度定义为

这个速度被称为条件速度(conditional velocity)。参见图 2 左侧部分。
Flow Matching 本质上是在对所有可能情况的期望进行建模,这种平均后的速度称为边缘速度(marginal velocity)(见图 2 右侧):


图2:Flow Matching 中的速度场示意图。左图:条件流(ConditionalFlows)。同一个z_t可能由不同的(x,ϵ)组合生成,因此会对应不同的条件速度v_t。右图:边缘流(Marginal Flows)。通过对所有可能的条件速度进行边缘化(求平均)得到边缘速度场。这个边缘速度场被作为训练神经网络时的「真实目标速度场」
图例说明:灰点表示从先验分布中采样得到的样本,红点表示来自真实数据分布的样本。
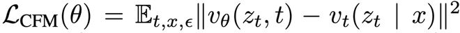
接着,学习由参数θ表示的神经网络v_θ,来拟合这个边缘速度场,其损失函数为:

但由于式(1) 中的边缘化过程难以直接计算,因此 Flow Matching 提出使用条件 Flow Matching损失来代替:

其中目标速度v_t是条件速度。
可以证明,最小化上述两个损失函数是等价的。
一旦得到了边缘速度场v(z_t,t),就可以通过求解下面的常微分方程(ODE)来生成样本:

初始值为z_1=ϵ,上述微分方程的解可以写成积分形式:

其中r表示另一个时间点。
在实际中,这个积分通常通过数值方法在离散时间步上进行近似。
值得注意的是,即便条件流被设计为「直线流动」(即所谓「校正流」),最终得到的边缘速度场(公式(1))往往仍会诱导出弯曲的轨迹(见图 2 的示意)。
这种轨迹的弯曲不仅仅是因为神经网络的近似误差,更是源于真实的边缘速度场本身。
当对这些弯曲轨迹使用粗粒度的时间离散化时,数值 ODE 解法往往会产生较大的误差,从而导致生成结果不准确。
MeanFlow 模型
平均流(Mean Flows)的核心思想是:引入一个表示平均速度的新场(velocity field),而传统 Flow Matching 所建模的是瞬时速度。
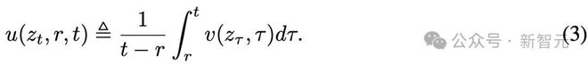
平均速度定义
平均速度被定义为两个时间点t和r之间的位移(通过对瞬时速度积分获得),再除以时间间隔。
形式上,平均速度u定义如下:

为了突出概念上的区别,统一用u表示平均速度,用v表示瞬时速度。
平均速度场u(z_t,r,t)同时依赖于起始时间r和终止时间t,如图 3 所示。

图3:平均速度场
需要注意的是,平均速度u本质上是瞬时速度v的泛函结果。
因此,平均速度场是由瞬时速度场决定的,并不依赖于任何神经网络。
从概念上讲,就像在 Flow Matching 中,瞬时速度v是训练的「真实目标场」,在 MeanFlow 中,平均速度u则扮演着类似的角色,是学习所依据的「真实速度场」。
MeanFlow 模型的最终目标是:用神经网络近似平均速度场。
这样做的优势显著:一旦平均速度被准确建模,就可以仅通过一次前向计算来近似整个流动路径。
换句话说,这种方法非常适合一步或少步数的生成任务,因为它在推理阶段不需要显式计算时间积分——这是传统建模瞬时速度方法所必须的步骤。
不过,在实践中,直接使用公式(3) 定义的平均速度作为训练网络的「真值」行不通,因为这要求在训练时就对瞬时速度执行积分,计算成本高且不可行。
研究人员的关键见解是:可以对平均速度的定义公式进行数学变形,从而构造一个更易于训练的优化目标,即使在只能访问瞬时速度的前提下依然可行。
MeanFlow 恒等式
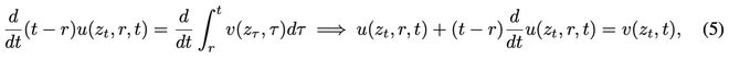
为了得到适合训练的形式,平均速度的定义公式(3) 被重新改写为:

接着,对这个等式的两边关于t求导(把r当作常数),然后运用函数积的求导法则和微积分基本定理,得到:

整理上式,即可得到核心的MeanFlow 恒等式:

它刻画了平均速度u和瞬时速度v之间的本质联系。
需要说明的是,公式(6) 与之前的积分公式(4) 是等价的(详见原文附录B.3)。
在MeanFlow恒等式中,公式右侧给出了可以作为训练目标的形式,可以利用它构建损失函数,来训练神经网络预测u(z_t,r,t)。
为了构建这个损失函数,还需要进一步分解其中的时间导数项。
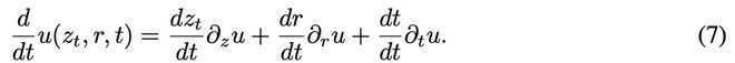
时间导数的计算
要计算公式(6) 右侧第二项全导数(total derivative),它可以用偏导数展开如下:

将导数关系带入后得到:

这提供了另一种表达u和v关系的方式。
利用神经网络自动微分,在训练时高效计算时间导数项。
利用平均速度进行训练
到目前为止,上述公式还没有涉及任何网络参数。现在引入可学习的模型u_θ,并希望它满足MeanFlow 恒等式(公式(6))。
研究者定义如下的损失函数来优化网络参数:

其中,u_tgt 是通过 MeanFlow 恒等式构造的训练目标:
这个目标的几个关键点如下:
-
训练信号来自于瞬时速度v,不需要积分操作,因此相比平均速度定义式(3) 更容易实现。
-
虽然公式中出现了对u的偏导数,但实际训练中使用的是网络输出uθ的梯度(自动微分实现)。
-
使用了 stop-gradient 操作(记为 sg):这是为了避免「二阶反向传播」,从而减小优化的计算负担。
需要说明的是,即使在优化中进行了这些近似,只要u_θ最终能够使损失为零,它就一定满足 MeanFlow 恒等式,从而也满足最初的平均速度定义。
条件速度替代边缘速度
在公式(10) 中的v(z_t,t)是 Flow Matching 中的边缘速度(见图 2 右),但它难以直接计算。
因此,借鉴 Flow Matching 已有的做法,使用条件速度(见图 2 左)来替代:
这里 vt=at′x+bt′ϵ是条件速度,在默认设定下 vt=ϵ−x。

论文链接:https://arxiv.org/abs/2210.02747
在算法 1 中,jvp 操作(Jacobian-vector product)非常高效。

使用 MeanFlow 模型进行采样非常简单:只需将时间积分项替换为平均速度即可,伪代码详见算法2。

带引导的 MeanFlow
新方法能够自然支持无分类器引导(Classifier-Free Guidance,CFG)。
与传统做法在采样阶段直接应用 CFG 不同,研究者将CFG 视为底层「真实速度场」的一部分属性。
这种建模方式可以在保留 CFG 效果的同时,仍保持采样时的1-NFE 性能。
构建真实速度场
研究者定义新的带引导的真实速度场 vcfg:

这是一个类别条件场(class-conditional field)与无条件场(class-unconditional field)的线性组合。
其中,类别条件速度(即对给定类别c条件下的边缘速度)、无条件边缘速度,定义如下:
接下来,我们仿照 MeanFlow 的方式,为 vcfg 引入对应的平均速度。
根据 MeanFlow 恒等式(公式6),我们有:

我们再次强调,vcfg 和 ucfg 都是理论上的真实速度场,与神经网络参数无关。
此外,由公式(13) 和 MeanFlow 恒等式导出:

这可以简化计算。
带引导的训练方法
神经网络 ucfg,θ来拟合平均速度场,需要构造如下训练目标:

其中目标值为:

这里的右侧第一项是结合引导权重后的速度定义:

-
其中v_t是样本条件速度,默认设定为 vt=ϵ−x。
-
如果ω=1,即纯类别条件引导,则损失函数退化为不含 CFG 的公式(9)。
-
stop-gradient 操作用于阻断目标对网络参数的反向传播,避免二阶梯度计算。
此外,为了增强网络对无类别输入的泛化能力,以0% 概率随机丢弃类别条件。
单 NFE 下 CFG 采样
在本方法中,网络直接学习的是由引导速度 vcfg 所诱导的平均速度。
因此,在采样阶段,无需再进行线性组合计算,只需直接网络调用即可完成一步采样(见算法2)。
最终,新在保留 CFG 效果的同时,依然维持了理想的单步采样性能(1-NFE),兼顾了效率与质量。
作者介绍
耿正阳(Zhengyang Geng)


耿正阳,卡内基梅隆大学(CMU)计算机科学博士生。
他热衷于研究动态系统,致力于识别、理解并开发能够自组织形成复杂系统的动态机制。
2020 年,他毕业于四川大学,获得计算机科学与技术学士学位。
他在北京大学、Meta 等机构实习过多次。
参考资料:
https://arxiv.org/abs/2505.13447
https://mlg.eng.cam.ac.uk/blog/2024/01/20/flow-matching.html
